⚡️ Stim. périphérique

⚡️ Stim. périphérique · 29 avril 2019
La stimulation périphérique #PNS une solution dans la #DouleurChronique post-amputation, un beau papier à lire cette semaine dans BMJ. Nous en parlerons au cours d'une soirée sur "La douleur chez le patient amputé du membre inférieur" organisée par le Dr Michele Timsit 🗓️Jeudi 16 mai 2019 ⌚️19h00 📍 Clinique de Provence-Bourbonne Ramsay Générale de Santé à Aubagne

⚡️ Stim. périphérique · 30 septembre 2015
La référence Ellis JA, Mejia Munne JC, Winfree CJ. Trigeminal branch stimulation for the treatment of intractable craniofacial pain. Journal of neurosurgery. 2015:1-6 L'article La stimulation de la branche du trijumeau a été utilisée dans le traitement de douleur crânio-faciales mais les risques et les avantages de ce type d’approche n’ont pas été clairement définis dans les grandes études. Les auteurs rapportent leur expérience dans le traitement de la douleur crânio-faciales...

⚡️ Stim. périphérique · 21 février 2014
La référence Stevanato G, Devigili G, Eleopra R, Fontana P, Lettieri C, Baracco C, Guida F, Rinaldo S, Bevilacqua M (2014) Chronic post-traumatic neuropathic pain of brachial plexus and upper limb: a new technique of peripheral nerve stimulation. Neurosurg Rev. : 10.1007/s10143-014-0523-0 L'article L'objectif de cette étude était d'évaluer le soulagement de la douleur chez des patients souffrant de douleur neuropathique liée à un traumatisme du plexus brachial par la stimulation de la...

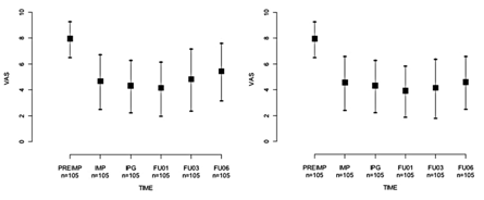
⚡️ Stim. périphérique · 09 décembre 2013
La référence Kloimstein H, Likar R, Kern M, Neuhold J, Cada M, Loinig N, Ilias W, Freundl B, Binder H, Wolf A, Dorn C, Mozes-Balla EM, Stein R, Lappe I, Sator-Katzenschlager S. Peripheral Nerve Field Stimulation (PNFS) in Chronic Low Back Pain: A Prospective Multicenter Study. Neuromodulation. 2013 Dec 9 L'article L'objectif de cette étude était d'évaluer l'efficacité à long terme et l’innocuité de la stimulation des nerfs périphériques (PNFS) dans le traitement de la lombalgie...